Упр.6.15 ГДЗ Мордкович 9 класс (Алгебра)
Решение #1
Решение #2

Рассмотрим вариант решения задания из учебника Мордкович 9 класс, Мнемозина:
Решите систему уравнений:
6.15 а) система
х2 + у2 + х +у = 2,
2Х2 - у2 + 2х - у = 4;
б) система
х2 + y2 - 2х+ 3у = 31,
х2 + у2 - 2х - у = 15;
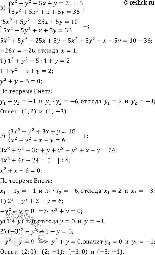
в) система
х2 + У2 - 5x + У = 2,
5y2 + 5x2 + х + 5y = 36;
в) система
3х2 + у2 + Зх + у = 18,
х2 - у2 + х - у = 6.
*размещая тексты в комментариях ниже, вы автоматически соглашаетесь с пользовательским соглашением