Упр.543 ГДЗ Дорофеев Суворова 7 класс (Алгебра)
Решение #1

Рассмотрим вариант решения задания из учебника Дорофеев, Суворова, Бунимович 10-11 класс, Просвещение:
Сократите дробь (543—544).
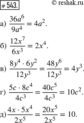
543 а) 36a6/9a4;
б) 12x7/6x3;
в) (8y4 * 6y2)/12y3;
г) (5c * 8c4)/4c3;
д) (4x * 5x4)/2x5.
*размещая тексты в комментариях ниже, вы автоматически соглашаетесь с пользовательским соглашением