Упр.251 ГДЗ Дорофеев Суворова 7 класс (Алгебра)
Решение #1

Рассмотрим вариант решения задания из учебника Дорофеев, Суворова, Бунимович 10-11 класс, Просвещение:
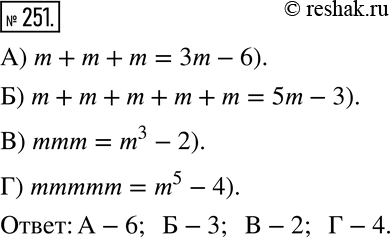
251 Для каждого выражения из первой строки найдите равное ему выражение из второй строки.
А) m + m + m
Б) m + m + m + m + m
В) mmm
Г) mmmmm
1) m + 5
2) m3
3) 5m
4) m5
5) m + 3
6) 3m
*размещая тексты в комментариях ниже, вы автоматически соглашаетесь с пользовательским соглашением